×
Close
Sign Up
Login
Home
Library S
Library D
Events & Partner
WeMed
MDLA Events Platform
Events
Media Partners
Educational Partner
User Tools
FAQ/USER GUIDE
Language
English
中文/ Chinese
French
Português
Español
Arabic
Russian
Contact Us
×
Close
mdla_1
mdla_2
mdla_3
mdla_4
mdla_5
mdla_6
Categories
Endocrinology, Metabolism & Nutrition
24509
Global Medical University
5186
Allergy
1797
Anatomy & Morphology
1557
Andrology
379
Anesthesia & Intensive Care
1283
Anesthesiology
5482
Audiology & Speech-Language Pathology
347
Behavioral Sciences
100
Biochemical Research Methods
7161
Biochemistry & Molecular Biology
30007
Biodiversity Conservation
325
Biology
8453
Biophysics
8235
Biotechnology & Applied Microbiology
8619
Cardiac & Cardiovascular Systems
31108
Cardiovascular & Respiratory Systems
1386
Cell & Tissue Engineering
698
Cell Biology
11207
Chemistry, Analytical
4295
Chemistry, Applied
10946
Chemistry, Medicinal
8741
Chemistry, Multidisciplinary
18538
Clinical Immunology & Infectious Disease
454
Clinical Medicine
8961
Clinical Neurology
16635
Clinical Psychology & Psychiatry
1312
Critical Care Medicine
3207
Dentistry, Oral Surgery & Medicine
13521
Dermatology
7470
Developmental Biology
6919
Ecology
645
Education, Scientific Disciplines
2078
Emergency Medicine
4092
Engineering, Biomedical
3776
Entomology
450
Environmental Medicine & Public Health
4726
Evolutionary Biology
268
Gastroenterology & Hepatology
12230
General & Internal Medicine
6967
Genetics & Heredity
15105
Geriatrics & Gerontology
5137
Gerontology
370
Health Care Sciences & Services
16195
Health Policy & Services
651
Hematology
5625
Immunology
24753
Infectious Diseases
13990
Integrative & Complementary Medicine
2935
Medical Ethics
1224
Medical Informatics
2273
Medical Laboratory Technology
419
Medicine, General & Internal
44305
Medicine, Legal
532
Medicine, Research & Experimental
17764
Microbiology
23308
Mycology
0
Nanoscience & Nanotechnology
5444
Neuroimaging
1411
Neurology
4551
Neurosciences
39762
Nursing
9717
Nutrition & Dietetics
7868
Obstetrics & Gynecology
8296
Oncology
52304
Ophthalmology
9732
Optics
4272
Orthopedics
11788
Orthopedics, Rehabilitation & Sports Medicine
1818
Otolaryngology
1592
Otorhinolaryngology
4868
Parasitology
1125
Pathology
5114
Pediatrics
21656
Peripheral Vascular Disease
4839
Pharmacology & Pharmacy
35315
Pharmacology/Toxicology
12134
Physiology
8907
Polymer Science
533
Primary Health Care
871
Psychiatry
19109
Psychology
5220
Psychology, Applied
112
Psychology, Biological
389
Psychology, Clinical
812
Psychology, Developmental
244
Psychology, Educational
169
Psychology, Experimental
166
Psychology, Mathematical
0
Psychology, Multidisciplinary
1688
Psychology, Psychoanalysis
30
Psychology, Social
119
Public Health & Health Care Science
2248
Public, Environmental & Occupational Health
27119
Quantum Science & Technology
0
Radiology, Nuclear Medicine & Imaging
12411
Radiology, Nuclear Medicine & Medical Imaging
8122
Rehabilitation
3059
Remote Sensing
0
Reproductive Biology
2866
Reproductive Medicine
1201
Research/Laboratory Medicine & Medical Technology
3975
Respiratory System
7431
Rheumatology
6043
Social Sciences, Biomedical
1203
Substance Abuse
2759
Surgery
33813
Toxicology
4444
Transplantation
948
Tropical Medicine
300
Urology & Nephrology
13055
Veterinary Sciences
35
Virology
2505
Zoology
0
Channels
NEJM Endocrinology
9
Medrxiv - Endocrinology Medrxiv
464
AMERICAN JOURNAL OF PHYSIOLOGY-CELL PHYSIOLOGY
449
BEST PRACTICE & RESEARCH CLINICAL ENDOCRINOLOGY & METABOLISM
234
BIOLOGY OF SEX DIFFERENCES
188
BMJ OPEN DIABETES RESEARCH & CARE
392
BONE
0
CALCIFIED TISSUE INTERNATIONAL
353
CARDIOVASCULAR DIABETOLOGY
629
CURRENT DIABETES REPORTS
173
CURRENT OBESITY REPORTS
148
CURRENT OPINION IN ENDOCRINOLOGY DIABETES AND OBESITY
160
CURRENT OPINION IN LIPIDOLOGY
127
CURRENT OSTEOPOROSIS REPORTS
208
DIABETES
134
DIABETES & METABOLISM
221
DIABETES & METABOLISM JOURNAL
40
DIABETES CARE
194
DIABETES METABOLIC SYNDROME AND OBESITY-TARGETS AND THERAPY
977
DIABETES OBESITY & METABOLISM
293
DIABETES RESEARCH AND CLINICAL PRACTICE
0
DIABETES-METABOLISM RESEARCH AND REVIEWS
105
DIABETIC MEDICINE
215
DIABETOLOGIA
527
ENDOCRINE
676
ENDOCRINE PATHOLOGY
195
ENDOCRINE PRACTICE
643
EUROPEAN THYROID JOURNAL
14
FRONTIERS IN ENDOCRINOLOGY
5631
HORMONES AND BEHAVIOR
333
JOURNAL OF BONE AND MINERAL RESEARCH
173
JOURNAL OF DIABETES
88
JOURNAL OF DIABETES INVESTIGATION
241
JOURNAL OF ENDOCRINOLOGICAL INVESTIGATION
628
JOURNAL OF HUMAN NUTRITION AND DIETETICS
94
JOURNAL OF NEUROENDOCRINOLOGY
106
JOURNAL OF PARENTERAL AND ENTERAL NUTRITION
235
LANCET DIABETES & ENDOCRINOLOGY
0
METABOLISM-CLINICAL AND EXPERIMENTAL
10
MOLECULAR METABOLISM
563
NATURE REVIEWS ENDOCRINOLOGY
430
NEUROENDOCRINOLOGY
148
NUTRITION & DIABETES
110
OBESITY
133
OBESITY REVIEWS
115
PEDIATRIC DIABETES
77
PSYCHONEUROENDOCRINOLOGY
0
THERAPEUTIC ADVANCES IN ENDOCRINOLOGY AND METABOLISM
31
ARCHIVES OF ENDOCRINOLOGY METABOLISM
0
CLINICAL ENDOCRINOLOGY
171
DIABETES & VASCULAR DISEASE RESEARCH
16
DIABETOLOGY & METABOLIC SYNDROME
506
ENDOCRINOLOGIA DIABETES Y NUTRICION
402
GENERAL AND COMPARATIVE ENDOCRINOLOGY
0
INTERNATIONAL JOURNAL OF SPORT NUTRITION AND EXERCISE METABOLISM
170
JOURNAL OF BIOLOGICAL REGULATORS AND HOMEOSTATIC AGENTS
139
JOURNAL OF CLINICAL DENSITOMETRY
264
JOURNAL OF DIABETES AND ITS COMPLICATIONS
451
NEUROIMMUNOMODULATION
82
OBESITY FACTS
160
REPRODUCTIVE BIOLOGY AND ENDOCRINOLOGY
393
WORLD REVIEW OF NUTRITION AND DIETETICS
30
HORMONE AND METABOLIC RESEARCH
348
NEUROPEPTIDES
181
THYROID RESEARCH
97
REVISTA DE OSTEOPOROSIS Y METABOLISMO MINERAL
44
BRITISH JOURNAL OF DIABETES
115
CLINICAL MEDICINE INSIGHTS-ENDOCRINOLOGY AND DIABETES
20
CLINICAL OBESITY
33
CLINICAL REVIEWS IN BONE AND MINERAL METABOLISM
38
DIABETOLOGY INTERNATIONAL
208
JOURNAL OF DIABETES AND METABOLIC DISORDERS
536
JOURNAL OF DIABETOLOGY
126
JOURNAL OF THE ASEAN FEDERATION OF ENDOCRINE SOCIETIES
197
OBESITY SCIENCE & PRACTICE
87
PITUITARY
278
OSTEOPOROSIS INTERNATIONAL
585
REVIEWS IN ENDOCRINE & METABOLIC DISORDERS
270
DIABETES THERAPY
462
HORMONES-INTERNATIONAL JOURNAL OF ENDOCRINOLOGY AND METABOLISM
278
INTERNATIONAL JOURNAL OF DIABETES IN DEVELOPING COUNTRIES
352
METABOLIC BRAIN DISEASE
556
SCI Abstract
search
ALL
RECOMMENDED
+
Self-care practices and their determinants among older adults with diabetes and hypertension in India: Evidence from a national survey
Diabetes Mellitus (DM) and Hypertension (HTN) are major public health challenges among older adults. Effective management ...
International Journal Of Diabetes In Developing Countries
comment
0
thumb_up
0
Meta-analysis comparing the safety profiles of SGLT2 inhibitors and sulfonylureas in Asian patients with type 2 diabetes
Some Asian countries have less developed pharmacovigilance systems than in the West. Generally, SGLT2 inhibitors, as the n...
International Journal Of Diabetes In Developing Countries
comment
0
thumb_up
0
The rs12255372 variant as a predictor of type 2 diabetes susceptibility in the Iraqi Middle Euphrates region
Type 2 diabetes mellitus (T2DM) is a significant global health burden due to rising incidence, cardiovascular complication...
International Journal Of Diabetes In Developing Countries
comment
0
thumb_up
0
Catalase-262C/T polymorphism and diabetic nephropathy in suburban Mumbai: A pilot study
Diabetic nephropathy (DN) is a leading cause of end-stage renal disease, and genetic predisposition plays a crucial role i...
International Journal Of Diabetes In Developing Countries
comment
0
thumb_up
0
Bidirectional association between depression and type 2 diabetes mellitus: A systematic review and meta-analysis of prospective cohort studies
The bidirectional relationship between depression and type 2 diabetes mellitus (T2DM) has gained increasing attention, yet...
International Journal Of Diabetes In Developing Countries
comment
0
thumb_up
0
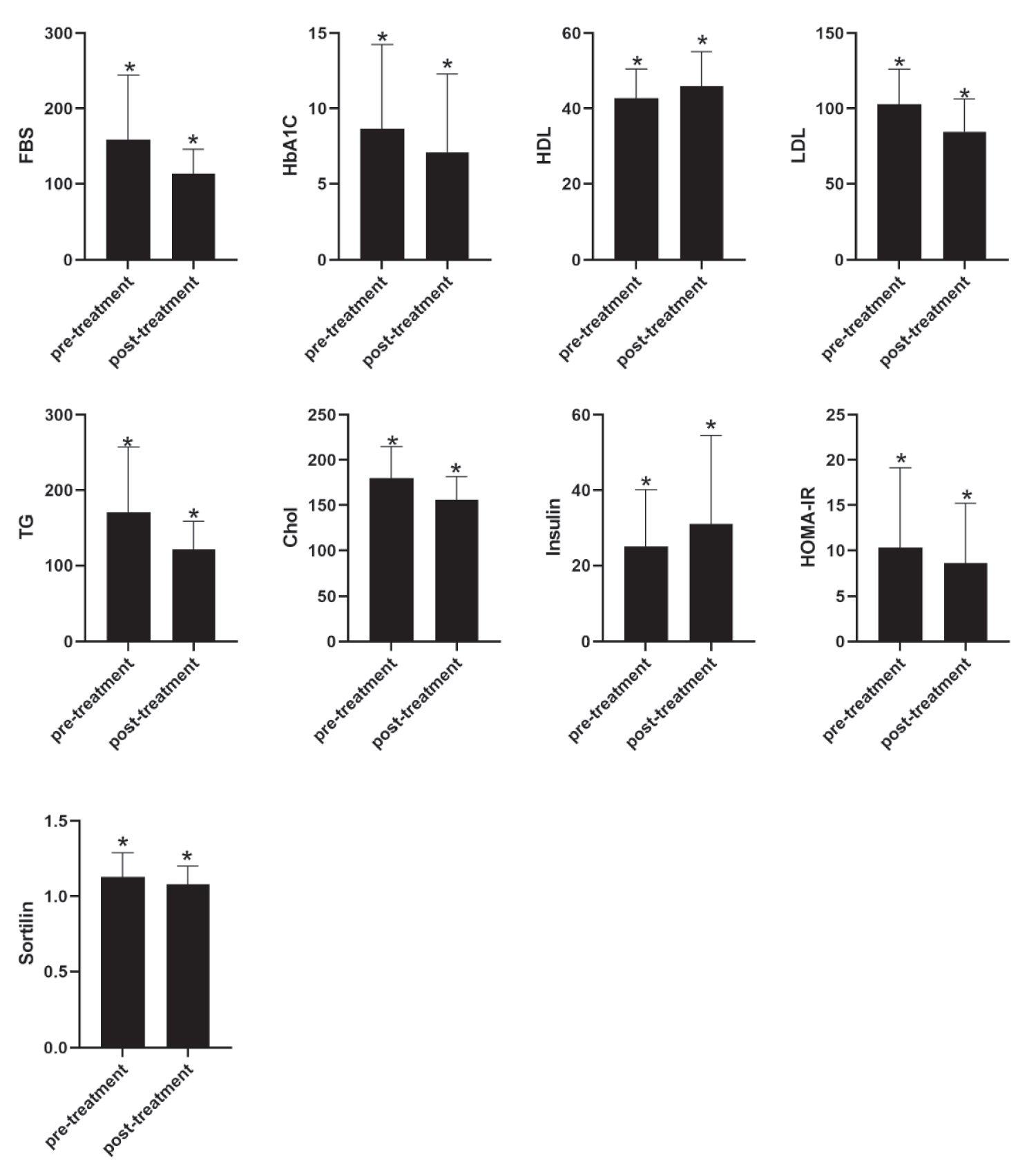
The effects of atorvastatin consumption on blood levels of sortilin, glycemic, and lipid indices in type 2 diabetic patients: A randomized clinical trial
Atorvastatin is a lipophilic statin that exhibits pleiotropic effects beyond cholesterol (Chol) reduction. Sortilin is one...
International Journal Of Diabetes In Developing Countries
comment
0
thumb_up
0
Comparison of estimated Glomerular Filtration Rate using the CKD-EPI (Scr) 2009 and CKD-EPI (Scr) 2021 (race-free) equations among people with type 2 diabetes in a tertiary care setting in India
Limited studies are available to assess transition effect in eGFR using the CKD-EPI (Scr) 2021 among Indians with type 2 d...
International Journal Of Diabetes In Developing Countries
comment
0
thumb_up
0
MACE and MALE outcome with rivaroxaban following endovascular peripheral arterial intervention in diabetes: A real-world study
Peripheral artery disease (PAD) affects millions globally, with a significant proportion also having diabetes mellitus (DM...
International Journal Of Diabetes In Developing Countries
comment
0
thumb_up
0
Pathophysiology and treatment of exercise-associated hyponatremia
Exercise associated hyponatremia (EAH) is a medical condition that can occur during physical exertion. Initially, EAH was ...
Journal Of Endocrinological Investigation
comment
0
thumb_up
0
Sperm DNA methylation landscape in infertile men with clinical varicocele: unravelling the treatment effect
Varicocele has been associated with reduced male fertility potential. Treatment modalities for varicocele improve semen pa...
Journal Of Endocrinological Investigation
comment
0
thumb_up
0
Multi-database pharmacovigilance assessment of GLP-1 receptor agonist-related ophthalmic risks using advanced signal detection in FAERS and vigibase
The expanding clinical use of glucagon-like peptide-1 receptor agonists (GLP-1 RAs) for type 2 diabetes and obesity has ra...
Journal Of Endocrinological Investigation
comment
0
thumb_up
0
Potential role of insulin-like growth factor 1 and growth hormone in acneiform eruptions: evidence from a rat model of acromegaly
Acne, a chronic inflammatory disease, is influenced by insulin-like growth factor 1 (IGF-1). Acromegaly, characterized by ...
Journal Of Endocrinological Investigation
comment
0
thumb_up
0
Impact of timing, type, and intensity of physical activity on glycemic outcomes in a cohort of well-controlled youth with type 1 diabetes
To evaluate how the timing, type, and intensity of bout-related physical activity (PA) influence glycemic control across a...
Journal Of Endocrinological Investigation
comment
0
thumb_up
0
Vulvodynia: still a dramatically neglected condition. A position statement on pathogenetic mechanisms from the Italian Society of Andrology and Sexual Medicine (SIAMS)
8–10% of women experience vulvar pain. We aim to summarize the current literature on pathogenetic mechanisms of vulv...
Journal Of Endocrinological Investigation
comment
0
thumb_up
0
Phase-dependent changes in serum kisspeptin and irisin levels across the menstrual cycle in healthy women
The menstrual cycle is a complex biological process regulated by the hypothalamic-pituitary-ovarian axis, resulting in cyc...
Journal Of Endocrinological Investigation
comment
0
thumb_up
0
Testicular microlithiasis and male fertility: a dual perspective integrating imaging and physiological insights
Testicular microlithiasis (TM) is a pathological condition characterized by diffuse calcifications within the seminiferous...
Reproductive Biology And Endocrinology
comment
0
thumb_up
0
Depression, anxiety, and stress impair sperm quality via dysregulation of the mitochondrial PDK–PDC axis
Male infertility, a significant global public health challenge, arises from multifactorial interactions involving genetic,...
Reproductive Biology And Endocrinology
comment
0
thumb_up
0
Structural and hormonal changes in the ovaries of women with polycystic ovary syndrome and healthy controls: a 13-year prospective study in an unselected population
This study investigates whether ovarian structural and hormonal changes over a 13-year period differ between women diagnos...
Reproductive Biology And Endocrinology
comment
0
thumb_up
0
Influence of psychosocial work factors on male fertility and sperm quality: a scoping review
While much research is available on the implications of environmental and occupational exposures to chemicals on infertili...
Reproductive Biology And Endocrinology
comment
0
thumb_up
0
Efficacy and safety of denosumab biosimilar CMAB807 versus Prolia in Chinese postmenopausal women with osteoporosis
Phase I study showed comparable pharmacodynamic, safety and pharmacokinetic profiles of denosumab biosimilar CMAB807 and r...
Endocrine
comment
0
thumb_up
0
Long-term follow-up of growth and puberty in 3-M syndrome: effects of growth hormone therapy and response variability
3-M syndrome is a rare autosomal recessive growth disorder characterised by severe prenatal and postnatal growth retardati...
Endocrine
comment
0
thumb_up
0
HDL cholesterol as an associate of prevalent coronary artery disease in heterozygous Familial hypercholesterolemia beyond LDL cholesterol
Low high-density lipoprotein cholesterol (HDL-C) levels have been associated with increased risk of coronary artery diseas...
Endocrine
comment
0
thumb_up
0
Follow-up of hypogonadotropic hypogonadism recovery in Chinese male prolactinoma patients treated with dopamine agonists
To evaluate the prevalence of hypogonadotropic hypogonadism (HH) in male prolactinoma patients with dopamine agonist (DA) ...
Endocrine
comment
0
thumb_up
0
Genetic screening in a large Chinese cohort of adult-onset non-surgical hypoparathyroidism
Few epidemiological evidence is available on genetic hypoparathyroidism (HP) in adult-onset non-surgical hypoparathyroidis...
Endocrine
comment
0
thumb_up
0
Bulk and Single-cell transcriptomic profiling identifies C1QA as an Immune-Associated hub genes in graves’ ophthalmopathy
The key genes and the remodeling of immune cell composition in Graves’ ophthalmopathy (GO) orbital adipose tissue re...
Endocrine
comment
0
thumb_up
0
Development and validation of Age-Specific algorithms for diabetes prediction
Diabetes mellitus (DM) has a higher incidence among older adults. This study aimed to develop age-specific DM prediction m...
Endocrine
comment
0
thumb_up
0
Clinical features and literature review in children and adolescent patients with functioning gonadotroph pituitary neuroendocrine tumors
To analyze the clinical characteristics of children and adolescent patients with functioning gonadotroph pituitary neuroen...
Endocrine
comment
0
thumb_up
0
Association between dietary patterns and cardiovascular mortality in patients with metabolic dysfunction-associated steatotic liver disease
Given the heightened cardiovascular risk in patients with metabolic dysfunction-associated steatotic liver disease (MASLD)...
Endocrine
comment
0
thumb_up
0
Clinical pathway management of diabetic Charcot neuro-osteoarthropathy
Diabetic Charcot neuro-osteoarthropathy (DCNO) is a serious complication of diabetes that frequently leads to foot deformi...
Endocrine
comment
0
thumb_up
0
Clinical characteristics and survival of patients with calcitonin-secreting neuroendocrine neoplasms: experience from a series of 71 patients
Although calcitonin (CT)-secreting neuroendocrine neoplasms (NENs) represent a relevant differential diagnosis for medulla...
Endocrine
comment
0
thumb_up
0
Load More
Modal title
×
Modal title
×
Share
Login
Global News and Health Forum
Join Now!
Member Login
Remember me
Forgot password?
Or using
Linkedin