×
Close
Sign Up
Login
Home
Library S
Library D
Events & Partner
WeMed
MDLA Events Platform
Events
Media Partners
Educational Partner
User Tools
FAQ/USER GUIDE
Language
English
中文/ Chinese
French
Português
Español
Arabic
Russian
Contact Us
×
Close
mdla_1
mdla_2
mdla_3
mdla_4
mdla_5
mdla_6
Categories
Biophysics
8147
Global Medical University
5111
Allergy
1796
Anatomy & Morphology
1577
Andrology
379
Anesthesia & Intensive Care
1289
Anesthesiology
5407
Audiology & Speech-Language Pathology
347
Behavioral Sciences
100
Biochemical Research Methods
7084
Biochemistry & Molecular Biology
29809
Biodiversity Conservation
345
Biology
8400
Biotechnology & Applied Microbiology
8555
Cardiac & Cardiovascular Systems
30848
Cardiovascular & Respiratory Systems
1364
Cell & Tissue Engineering
696
Cell Biology
11131
Chemistry, Analytical
4274
Chemistry, Applied
10830
Chemistry, Medicinal
8705
Chemistry, Multidisciplinary
18419
Clinical Immunology & Infectious Disease
436
Clinical Medicine
8920
Clinical Neurology
16486
Clinical Psychology & Psychiatry
1289
Critical Care Medicine
3163
Dentistry, Oral Surgery & Medicine
13436
Dermatology
7425
Developmental Biology
6885
Ecology
634
Education, Scientific Disciplines
2055
Emergency Medicine
4042
Endocrinology, Metabolism & Nutrition
24265
Engineering, Biomedical
3729
Entomology
441
Environmental Medicine & Public Health
4676
Evolutionary Biology
274
Gastroenterology & Hepatology
12190
General & Internal Medicine
6927
Genetics & Heredity
14964
Geriatrics & Gerontology
5088
Gerontology
366
Health Care Sciences & Services
16119
Health Policy & Services
644
Hematology
5592
Immunology
24544
Infectious Diseases
13928
Integrative & Complementary Medicine
2920
Medical Ethics
1228
Medical Informatics
2243
Medical Laboratory Technology
419
Medicine, General & Internal
44022
Medicine, Legal
529
Medicine, Research & Experimental
17643
Microbiology
23129
Mycology
0
Nanoscience & Nanotechnology
5453
Neuroimaging
1404
Neurology
4547
Neurosciences
39346
Nursing
9720
Nutrition & Dietetics
7842
Obstetrics & Gynecology
8196
Oncology
51863
Ophthalmology
9662
Optics
4251
Orthopedics
11669
Orthopedics, Rehabilitation & Sports Medicine
1791
Otolaryngology
1587
Otorhinolaryngology
4838
Parasitology
1130
Pathology
5078
Pediatrics
21432
Peripheral Vascular Disease
4793
Pharmacology & Pharmacy
35182
Pharmacology/Toxicology
11989
Physiology
8827
Polymer Science
531
Primary Health Care
868
Psychiatry
18889
Psychology
5200
Psychology, Applied
112
Psychology, Biological
388
Psychology, Clinical
804
Psychology, Developmental
257
Psychology, Educational
163
Psychology, Experimental
186
Psychology, Mathematical
0
Psychology, Multidisciplinary
1676
Psychology, Psychoanalysis
30
Psychology, Social
119
Public Health & Health Care Science
2230
Public, Environmental & Occupational Health
26973
Quantum Science & Technology
0
Radiology, Nuclear Medicine & Imaging
12321
Radiology, Nuclear Medicine & Medical Imaging
8049
Rehabilitation
3024
Remote Sensing
0
Reproductive Biology
2861
Reproductive Medicine
1182
Research/Laboratory Medicine & Medical Technology
3958
Respiratory System
7400
Rheumatology
6043
Social Sciences, Biomedical
1189
Substance Abuse
2734
Surgery
33533
Toxicology
4413
Transplantation
948
Tropical Medicine
295
Urology & Nephrology
12881
Veterinary Sciences
35
Virology
2510
Zoology
0
Channels
ARCHIVES OF BIOCHEMISTRY AND BIOPHYSICS
0
CURRENT OPINION IN CHEMICAL BIOLOGY
304
INTERNATIONAL JOURNAL OF BIOCHEMISTRY & CELL BIOLOGY
331
INTERNATIONAL JOURNAL OF BIOLOGICAL MACROMOLECULES
4727
NATURE STRUCTURAL & MOLECULAR BIOLOGY
539
WILEY INTERDISCIPLINARY REVIEWS-SYSTEMS BIOLOGY AND MEDICINE
24
BIOCHEMICAL AND BIOPHYSICAL RESEARCH COMMUNICATIONS
0
BIOINTERPHASES
49
JOURNAL OF BIOMECHANICS
1012
PHOTOCHEMISTRY AND PHOTOBIOLOGY
170
PROTEINS-STRUCTURE FUNCTION AND BIOINFORMATICS
205
PHOTOCHEMICAL & PHOTOBIOLOGICAL SCIENCES
525
CELL BIOCHEMISTRY AND BIOPHYSICS
261
SCI Abstract
search
ALL
RECOMMENDED
+
Glyphosate exposure did not increase the risk of UVR-induced skin tumors in hairless mice
Glyphosate (GLY) is the most widely used pesticide in the world. Agricultural workers are exposed to GLY via ingestion and...
Photochemical & Photobiological Sciences
comment
0
thumb_up
0
The double plate in vitro SPF test method (ISO23675:2024) is a reliable means of measuring the performance of sunscreen products with high concentrations of zinc oxide and inorganic-only UV filters
Sunscreen products and cosmetics containing UV filters are chosen by consumers based primarily on their Sun Protection Fac...
Photochemical & Photobiological Sciences
comment
0
thumb_up
0
Infrared gas analyzer as a cutting-edge tool for studying photosynthesis in marine microalgae: a case study on
Photosynthesis is a fundamental process in microalgae, playing a crucial role in global carbon cycling and biotechnologica...
Photochemical & Photobiological Sciences
comment
0
thumb_up
0
Photochemical access to flavone- and aurone-fused estrone derivatives
The fusion of privileged heterocyclic scaffolds with biologically relevant structures represents a powerful strategy for d...
Photochemical & Photobiological Sciences
comment
0
thumb_up
0
Synthesis and characterization of a copper oxide/bismuth molybdate heterostructure for ciprofloxacin degradation via photoelectrocatalysis
A simple electrochemical method and dip-coating method were both used to synthesize novel heterostructures based on copper...
Photochemical & Photobiological Sciences
comment
0
thumb_up
0
The extract of dendrobium Coelonin inhibits PIH induced by AFR CO fractional laser combined with UV-B
Post-inflammatory hyperpigmentation (PIH) is a reaction process caused by an increase in melanin or abnormal melanin distr...
Photochemical & Photobiological Sciences
comment
0
thumb_up
0
Aspects of pathogen inactivation via absorption of short-pulse UV-C irradiation for advanced decontamination strategies
The COVID-19 pandemic has intensified the need for advanced pathogen inactivation strategies, with ultraviolet-C (UV-C) ra...
Photochemical & Photobiological Sciences
comment
0
thumb_up
0
Obituary: Allen P Miller, Founder, Sunshine Health Foundation
Allen P Miller passed away peacefully on August 25, 2025, in the hospital, at the age...
Photochemical & Photobiological Sciences
comment
0
thumb_up
0
Illuminating the dark majority: photobiology of nonphotosynthetic bacteria
Nonphotosynthetic bacteria represent the majority of prokaryotic diversity across virtually all terrestrial and host-assoc...
Photochemical & Photobiological Sciences
comment
0
thumb_up
0
Design of 222 nm UV-C experimental device and experiment on the effect of radiation on the quality of post-harvested fresh tomatoes
To investigate the effect of safe and green 222 nm UV-C irradiation on the sterilization, disinfection, and stora...
Photochemical & Photobiological Sciences
comment
0
thumb_up
0
Antitumor, biological and nonlinear optical activities of novel thiazolidines
The novel series of 3-acetyl phenylthiazolidine-4-carboxyamide derivatives were prepared, structurally characterized by FT...
Photochemical & Photobiological Sciences
comment
0
thumb_up
0
Novel ruthenium(II) polypyridyl complexes conjugated with bis-dipicolylamine as antibacterial photosensitisers
The inexorable and rapid rise of antimicrobial resistance in various Gram-positive and Gram-negative bacteria strains is s...
Photochemical & Photobiological Sciences
comment
0
thumb_up
0
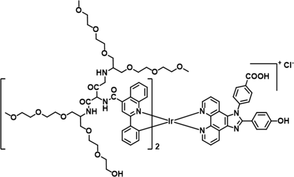
Combining NAD(P)H-FLIM and PLIM of Ir5 pH sensor to optimize photodynamic therapy through metabolic intracellular pattern segmentation
Metabolic Fluorescence Lifetime Imaging Microscopy (FLIM) algorithms have become invaluable tools for exploring deep into ...
Photochemical & Photobiological Sciences
comment
0
thumb_up
0
Pre-treatment with caffeic acid-phthalimide prevents UVB-induced oxidative stress and cytotoxicity
Prolonged exposure to Ultraviolet B (UVB) rays increases oxidative stress, causes direct DNA photolesions—particular...
Photochemical & Photobiological Sciences
comment
0
thumb_up
0
New cationic diketopyrrolopyrrole photosensitizers for the photoinactivation of gram-negative and gram-positive bacteria
Diketopyrrolopyrroles (DPP) are a versatile group of dyes and pigments with a wide range of applications, namely in the bi...
Photochemical & Photobiological Sciences
comment
0
thumb_up
0
Changes in ultraviolet B radiation-induced DNA damage and erythema after oral nicotinamide and polypodium leucotomos in healthy volunteers: an intraindividual controlled trial
Skin cancer, primarily caused by ultraviolet radiation (UVR), is the most common malignancy worldwide. The increasing inci...
Photochemical & Photobiological Sciences
comment
0
thumb_up
0
The Charge-driven Engineering of Mnemiopsin 2: Impact of Serine 35 Mutation on Activity and Stability
Bioluminescence in marine organisms, driven by photoproteins like mnemiopsin 2 from Mnemiopsis leidyi, relies on calcium-r...
Photochemical & Photobiological Sciences
comment
0
thumb_up
0
Corrigendum to “Small heat shock proteins HSP27 (HspB1), αB-crystallin (HspB5) and HSP22 (HspB8) as regulators of cell death” [Int. J. Biochem. Cell Biol. 44 (2012) 1622–1631]
Available online 5 September 2025, 106862Author links open overlay panelJulie Acunzo, Maria Katsogiannou, Palma RocchiShow...
International Journal Of Biochemistry & Cell Biology
comment
0
thumb_up
0
Bielong Ruangan decoction inhibits tumor growth and improves immune response in a hepatocellular carcinoma mouse model through gut microbiota
Primary liver cancer, particularly hepatocellular carcinoma (HCC), accounts for about 80% of all liver cancer cases. It ha...
International Journal Of Biochemistry & Cell Biology
comment
0
thumb_up
0
Antigen-presenting cells orchestrate mixed inflammatory endotypes in atopic dermatitis
Atopic dermatitis (AD), commonly referred to as eczema, atopic eczema, or neurodermatitis, is one of the most prevalent in...
International Journal Of Biochemistry & Cell Biology
comment
0
thumb_up
0
Heterozygous Kctd5 knockout mice exhibit abnormal lipid metabolism
The KCTD (potassium channel tetramerization domain-containing protein) family is conserved in various jawed vertebrates, y...
International Journal Of Biochemistry & Cell Biology
comment
0
thumb_up
0
Anti-cancer effect of Loranthus micranthus via downregulation of inflammation, tryptophan catabolism and kynurenine synthesis
The most prevalent cancer that kills women globally is breast cancer. Therefore, scientists need to look into ways to lowe...
International Journal Of Biochemistry & Cell Biology
comment
0
thumb_up
0
Syndecan-2 positively regulates Wnt/β-catenin signaling in breast cancer cells
The canonical Wnt signaling pathway regulates cellular protein levels of the transcriptional coactivator β-catenin, which ...
International Journal Of Biochemistry & Cell Biology
comment
0
thumb_up
0
Resistance to silicosis progression in mice with Ch25h downregulation: The involvement of NLRP3 inflammasome
As a common inhalable hazardous particle, silica is also a versatile industrial material with broad applications ranging f...
International Journal Of Biochemistry & Cell Biology
comment
0
thumb_up
0
Hibernating brown bear serum modulates the balance of TGF-β and BMP pathways in human muscle cells
Muscle atrophy is observed in several pathophysiological situations, including physical inactivity, leading to negative he...
International Journal Of Biochemistry & Cell Biology
comment
0
thumb_up
0
Integrated bulk and single-cell RNA sequencing identifies oxidative stress signatures of radiation-induced lung injury in mice through machine learning
Radiation-Induced Lung Injury (RILI) is a significant complication arising from exposure to ionizing radiation, particular...
International Journal Of Biochemistry & Cell Biology
comment
0
thumb_up
0
Escin alleviates DNCB-induced atopic dermatitis-like symptoms by promoting autophagy activation and tight junction barrier restoration
Atopic dermatitis (AD) is a widespread chronic skin disorder characterized by recurring, pruritus and inflammatory symptom...
International Journal Of Biochemistry & Cell Biology
comment
0
thumb_up
0
Characterizing the role of extracellular domain in GLP-1R biased agonism
The biased agonism of glucagon-like peptide-1 receptor (GLP-1R) plays a key role in the efficacy and side effects of drugs...
International Journal Of Biochemistry & Cell Biology
comment
0
thumb_up
0
β-Tricalcium phosphate nanoparticles induce macrophage polarization to M1-type through mitochondrial oxidative stress activation
β-Tricalcium phosphate (β-TCP) is commonly employed as a clinical artificial bone substitute. It has good biocompatibility...
International Journal Of Biochemistry & Cell Biology
comment
0
thumb_up
0
ATP1B4 as a candidate upstream regulator of muscle atrophy in diabetic sarcopenia via PI3K/AKT/mTOR-mediated autophagy
Diabetic sarcopenia (DS) is a common and debilitating complication of diabetes mellitus (DM), marked by progressive skelet...
International Journal Of Biochemistry & Cell Biology
comment
0
thumb_up
0
Load More
Modal title
×
Modal title
×
Share
Login
Global News and Health Forum
Join Now!
Member Login
Remember me
Forgot password?
Or using
Linkedin