×
Close
Sign Up
Login
Home
Library S
Library D
Events & Partner
WeMed
MDLA Events Platform
Events
Media Partners
Educational Partner
User Tools
FAQ/USER GUIDE
Language
English
中文/ Chinese
French
Português
Español
Arabic
Russian
Contact Us
×
Close
mdla_1
mdla_2
mdla_3
mdla_4
mdla_5
mdla_6
Categories
Microbiology
23308
Global Medical University
5186
Allergy
1797
Anatomy & Morphology
1557
Andrology
379
Anesthesia & Intensive Care
1283
Anesthesiology
5482
Audiology & Speech-Language Pathology
347
Behavioral Sciences
100
Biochemical Research Methods
7161
Biochemistry & Molecular Biology
30007
Biodiversity Conservation
325
Biology
8453
Biophysics
8235
Biotechnology & Applied Microbiology
8619
Cardiac & Cardiovascular Systems
31108
Cardiovascular & Respiratory Systems
1386
Cell & Tissue Engineering
698
Cell Biology
11207
Chemistry, Analytical
4295
Chemistry, Applied
10946
Chemistry, Medicinal
8741
Chemistry, Multidisciplinary
18538
Clinical Immunology & Infectious Disease
454
Clinical Medicine
8961
Clinical Neurology
16635
Clinical Psychology & Psychiatry
1312
Critical Care Medicine
3207
Dentistry, Oral Surgery & Medicine
13521
Dermatology
7470
Developmental Biology
6919
Ecology
645
Education, Scientific Disciplines
2078
Emergency Medicine
4092
Endocrinology, Metabolism & Nutrition
24509
Engineering, Biomedical
3776
Entomology
450
Environmental Medicine & Public Health
4726
Evolutionary Biology
268
Gastroenterology & Hepatology
12230
General & Internal Medicine
6967
Genetics & Heredity
15105
Geriatrics & Gerontology
5137
Gerontology
370
Health Care Sciences & Services
16195
Health Policy & Services
651
Hematology
5625
Immunology
24753
Infectious Diseases
13990
Integrative & Complementary Medicine
2935
Medical Ethics
1224
Medical Informatics
2273
Medical Laboratory Technology
419
Medicine, General & Internal
44305
Medicine, Legal
532
Medicine, Research & Experimental
17764
Mycology
0
Nanoscience & Nanotechnology
5444
Neuroimaging
1411
Neurology
4551
Neurosciences
39762
Nursing
9717
Nutrition & Dietetics
7868
Obstetrics & Gynecology
8296
Oncology
52304
Ophthalmology
9732
Optics
4272
Orthopedics
11788
Orthopedics, Rehabilitation & Sports Medicine
1818
Otolaryngology
1592
Otorhinolaryngology
4868
Parasitology
1125
Pathology
5114
Pediatrics
21656
Peripheral Vascular Disease
4839
Pharmacology & Pharmacy
35315
Pharmacology/Toxicology
12134
Physiology
8907
Polymer Science
533
Primary Health Care
871
Psychiatry
19109
Psychology
5220
Psychology, Applied
112
Psychology, Biological
389
Psychology, Clinical
812
Psychology, Developmental
244
Psychology, Educational
169
Psychology, Experimental
166
Psychology, Mathematical
0
Psychology, Multidisciplinary
1688
Psychology, Psychoanalysis
30
Psychology, Social
119
Public Health & Health Care Science
2248
Public, Environmental & Occupational Health
27119
Quantum Science & Technology
0
Radiology, Nuclear Medicine & Imaging
12411
Radiology, Nuclear Medicine & Medical Imaging
8122
Rehabilitation
3059
Remote Sensing
0
Reproductive Biology
2866
Reproductive Medicine
1201
Research/Laboratory Medicine & Medical Technology
3975
Respiratory System
7431
Rheumatology
6043
Social Sciences, Biomedical
1203
Substance Abuse
2759
Surgery
33813
Toxicology
4444
Transplantation
948
Tropical Medicine
300
Urology & Nephrology
13055
Veterinary Sciences
35
Virology
2505
Zoology
0
Channels
ANTIMICROBIAL AGENTS AND CHEMOTHERAPY
50
ANTIMICROBIAL RESISTANCE AND INFECTION CONTROL
381
APPLIED AND ENVIRONMENTAL MICROBIOLOGY
52
BMC MICROBIOLOGY
738
CELLULAR MICROBIOLOGY
33
CLINICAL MICROBIOLOGY REVIEWS
6
FRONTIERS IN MICROBIOLOGY
7394
GUT PATHOGENS
158
INTERNATIONAL JOURNAL OF ANTIMICROBIAL AGENTS
721
INTERNATIONAL JOURNAL OF FOOD MICROBIOLOGY
769
JOURNAL OF BACTERIOLOGY
36
JOURNAL OF CLINICAL MICROBIOLOGY
15
MICROBIOLOGY AND MOLECULAR BIOLOGY REVIEWS
17
MOLECULAR MICROBIOLOGY
169
NATURE MICROBIOLOGY
597
NATURE REVIEWS MICROBIOLOGY
434
PATHOGENS
1787
VIRUSES-BASEL
2611
ANAEROBE
342
ANNALS OF CLINICAL MICROBIOLOGY AND ANTIMICROBIALS
218
APMIS
47
BIOSCIENCE OF MICROBIOTA FOOD AND HEALTH
1
BRAZILIAN JOURNAL OF MICROBIOLOGY
0
DIAGNOSTIC MICROBIOLOGY AND INFECTIOUS DISEASE
530
INDIAN JOURNAL OF MICROBIOLOGY
958
INTERNATIONAL JOURNAL OF SYSTEMATIC AND EVOLUTIONARY MICROBIOLOGY
959
JOURNAL OF BASIC MICROBIOLOGY
104
JOURNAL OF MEDICAL MICROBIOLOGY
217
JOURNAL OF MOLECULAR MICROBIOLOGY AND BIOTECHNOLOGY
31
JUNDISHAPUR JOURNAL OF MICROBIOLOGY
32
METHODS IN MICROBIOLOGY
0
MICROBIOLOGY
328
POLISH JOURNAL OF MICROBIOLOGY
20
SYSTEMATIC AND APPLIED MICROBIOLOGY
211
VIROLOGICA SINICA
107
YEAST
32
CURRENT CLINICAL MICROBIOLOGY REPORTS
88
IRANIAN JOURNAL OF MICROBIOLOGY
283
JOURNAL OF MICROBIOLOGY & BIOLOGY EDUCATION
0
REVIEWS IN MEDICAL MICROBIOLOGY
102
MICROBIAL CELL
84
MICROBIOLOGY RESEARCH
101
CURRENT MICROBIOLOGY
960
EUROPEAN JOURNAL OF CLINICAL MICROBIOLOGY & INFECTIOUS DISEASES
502
JOURNAL OF MICROBIOLOGY
317
WORLD JOURNAL OF MICROBIOLOGY & BIOTECHNOLOGY
766
SCI Abstract
search
ALL
RECOMMENDED
+
A review on fungal surgical site infections: epidemiology, risk factors, main fungal agents, and prevention
1. Worboys M (2017). The history of Surgical wound infection: Revolution or evolution? In: The Palgr...
Iranian Journal Of Microbiology
comment
0
thumb_up
0
A comparative study on diagnostic accuracy of rapid card test, IgM ELISA and real time-PCR in detecting scrub typhus infection: a cross-sectional study from tertiary care hospital
1. Gitau MS, Asiago OH, Rogers OO, Reddy KS, PradeepKumar B, Sudheer A, et al. A Comprehensive review...
Iranian Journal Of Microbiology
comment
0
thumb_up
0
Detection of carbapenemase production in Enterobacterales by mCIM and eCIM: a tertiary care hospital study
1. Tsai YM, Wang S, Chiu HC, Kao CY, Wen LL. Combination of modified carbapenem inactivation method...
Iranian Journal Of Microbiology
comment
0
thumb_up
0
Exploring the genetic diversity and the association of drug resistance and biofilm production in Acinetobacter baumannii strains isolated from burn wound infections
1. Shariati A, Moradabadi A, Ghaznavi-Rad E, Dadmanesh M, Komijani M, Nojoomi F. Investigation into a...
Iranian Journal Of Microbiology
comment
0
thumb_up
0
Investigation of virulence factors and genes associated with biofilm and protease in Stenotrophomonas maltophilia isolates in Bushehr, Iran
1. Brooke JS. Stenotrophomonas maltophilia: an emerging global opportunistic pathogen. Clin Microbio...
Iranian Journal Of Microbiology
comment
0
thumb_up
0
Exploring novel amides as efflux pump inhibitors for overcoming antibiotic resistance in multidrug-resistant Pseudomonas aeruginosa
1. Abd El-Ghany WA. Pseudomonas aeruginosa infection of avian origin: Zoonosis and one health impli...
Iranian Journal Of Microbiology
comment
0
thumb_up
0
The emerging threat of multidrug-resistant mecA gene-positive coagulase-negative Staphylococci
1. Grazul M, Balcerczak E, Sienkiewicz M. Analysis of the Presence of the Virulence and Regulation Ge...
Iranian Journal Of Microbiology
comment
0
thumb_up
0
Biofilm formation and eradication of Staphylococcus aureus: a study of culture conditions and endolysin ZAM-CS effect
1. Thompson T. The staggering death toll of drug-resistant bacteria. Nature 2022; 10.1038/d41586-02...
Iranian Journal Of Microbiology
comment
0
thumb_up
0
Eradication of Helicobacter pylori: challenges and advances
1. Elbehiry A, Marzouk E, Aldubaib M, Abalkhail A, Anagreyyah S, Anajirih N, et al. Helicobacter pyl...
Iranian Journal Of Microbiology
comment
0
thumb_up
0
Pattern and trend of bacterial resistance in neonatal sepsis in infants admitted to the neonatal intensive care unit, from 2016 to 2021
1. Vergnano S, Sharland M, Kazembe P, Mwansambo C, Heath PT. Neonatal sepsis: an international persp...
Iranian Journal Of Microbiology
comment
0
thumb_up
0
Implementation of hazard analysis and critical control points (HACCP) for microbial safety of enteral feeding solutions at Imam Khomeini Hospital, Urmia, Iran
1. Sinha S, Lath G, Rao S. Safety of enteral nutrition practices: overcoming the contamination cha...
Iranian Journal Of Microbiology
comment
0
thumb_up
0
Molecular identification and phylogenetic analysis of yeast strains isolated from dairy products in Isfahan, Iran
1. Moubasher AH, Abdel-Sater MA, Soliman ZSM. Yeasts and filamentous fungi associated with some dairy...
Iranian Journal Of Microbiology
comment
0
thumb_up
0
The efficacy of luliconazole and caspofungin on planktonic and biofilm of Candida albicans from different sources
1. de Barros PP, Rossoni RD, de Souza CM, Scorzoni L, Fenley JC, Junqueira JC. Candida biofilms: an ...
Iranian Journal Of Microbiology
comment
0
thumb_up
0
Cytomegalovirus infection in patients attending a tertiary care hospital – single center experience
1. Puoti F, Ricci A, Nanni-Costa A, Ricciardi W, Malorni W, Ortona E. Organ transplantation and gende...
Iranian Journal Of Microbiology
comment
0
thumb_up
0
Antimicrobial and prebiotic properties of Weissella confuse B4-2 exopolysaccharide and its effects on matrix metalloproteinase genes expression
1. Mahmoud YA, El-Naggar ME, Abdel-Megeed A, El-Newehy M. Recent advancements in microbial polysaccha...
Iranian Journal Of Microbiology
comment
0
thumb_up
0
Immunogenicity assessment of Hepatitis A-VP1 and Hepatitis B surface antigen (HBsAg) fusion protein: a novel bivalent vaccine candidate
1. Castaneda D, Gonzalez AJ, Alomari M, Tandon K, Zervos XB. From hepatitis A to E: A critical revie...
Iranian Journal Of Microbiology
comment
0
thumb_up
0
Transplant failure in relation to BK viremia status among kidney transplant recipients in Jordan
1. Bethge T, Hachemi HA, Manzetti J, Gosert R, Schaffner W, Hirsch HH. Sp1 sites in the Noncoding co...
Iranian Journal Of Microbiology
comment
0
thumb_up
0
The prevalence of pediatric nosocomial fungal infections
1. Fisher BT, Robinson PD, Lehrnbecher T, Steinbach WJ, Zaoutis TE, Phillips B, et al. Risk factors...
Iranian Journal Of Microbiology
comment
0
thumb_up
0
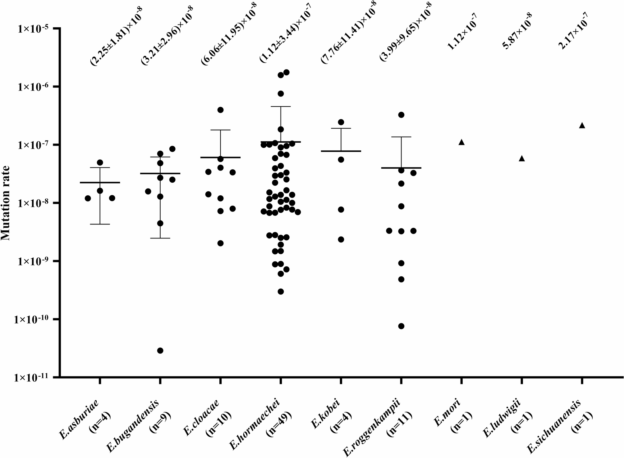
Correlation between the mutation rates for ampC derepression and species or ampC genotypes in Enterobacter cloacae complex
In this study, we investigated the correlation between the mutation rates for ampC derepression and species or ampC genoty...
Bmc Microbiology
comment
0
thumb_up
0
Gut microbiota dysbiosis promotes coronary heart disease comorbid with depression through lipopolysaccharides and Toll-like receptor 4
Coronary heart disease (CHD) and depression often coexist and complicate patient care. The gut microbiota plays a crucial ...
Bmc Microbiology
comment
0
thumb_up
0
Ligilactobacillus salivarius alleviated intestinal damage induced by Salmonella in mice via regulating microbiota
Salmonella is a major foodborne etiological agent with serious drug resistance, and the pursuit of novel therapeutic agent...
Bmc Microbiology
comment
0
thumb_up
0
Binding to Thrive: Decoding Atopobium spp. Interactions with Host Proteins and Immune Cells
Gram-positive anaerobic cocci (GPAC), including species of the genus Atopobium, are integral members of the human microbio...
Anaerobe
comment
0
thumb_up
0
Effects of Common Cosmetic Ingredients on Growth of Dominant Human Skin Inhabitant Cutibacterium acnes
It has been reported that the human skin microbiome is the second largest after the intestine, with approximately 1,000 sp...
Anaerobe
comment
0
thumb_up
0
Prevalence and molecular types of Clostridioides (Clostridium) difficile on Australian retail vegetables and household surfaces
ObjectivesCommunity-onset Clostridioides (Clostridium) difficile infection (CDI) has risen to >80% of all CDI cases in ...
Anaerobe
comment
0
thumb_up
0
Novel anaerobic taxa and taxonomic revisions published in 2024, and requirements for the validation process to establish taxon names with standing in the literature
Volume 95, October 2025, 102989Author links open overlay panel, References (39)J.M. JandaTaxonomic update on proposed nome...
Anaerobe
comment
0
thumb_up
0
In vivo efficacy of fidaxomicin against rpoB mutant Clostridioides difficile infection
ObjectivesClostridioides difficile infection (CDI) is a well-known healthcare-associated diarrheal disease. Fidaxomicin, a...
Anaerobe
comment
0
thumb_up
0
Deletion of rgaS reduces virulence in a mouse model of Clostridioides difficile infection
Cookies are used by this site. Cookie SettingsAll content on this site: Copyright © 2025 Elsevier B.V., its licensors, an...
Anaerobe
comment
0
thumb_up
0
Desulfovibrio desulfuricans bacteraemia and associated liver abscess: Case report and literature review
We present a rare case of Desulfovibrio desulfuricans bacteraemia and associated liver abscess. A 72-year-old Caucasian wo...
Anaerobe
comment
0
thumb_up
0
Odoribacter splanchnicus bacteremia: a rare condition associated with intestinal disease
Odoribacter splanchnicus is an anaerobe that normally inhabits the human intestine and rarely causes infections in humans....
Anaerobe
comment
0
thumb_up
0
Molecular characterization of Clostridioides difficile isolated from older adults during prospective population-based active surveillance at nine hospitals in Tokyo, Japan, 2018–2020
Clostridioides difficile (including epidemiology)Molecular characterization of Clostridioides difficile isolated from olde...
Anaerobe
comment
0
thumb_up
0
Load More
Modal title
×
Modal title
×
Share
Login
Global News and Health Forum
Join Now!
Member Login
Remember me
Forgot password?
Or using
Linkedin